PDF版
下一版
上一版
四版:副刊
总第3064期 >
2022-12-16
编印
返回阅读
|
视觉导航
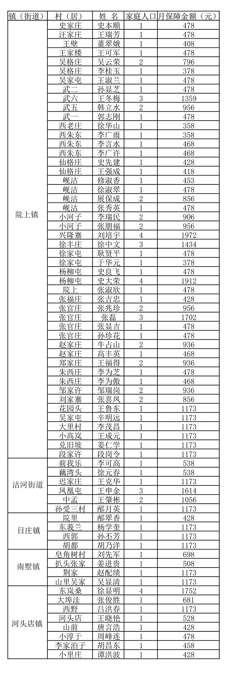
2022年12月份城乡低保对象调整情况公示
刊发日期:2022-12-16 阅读次数: 作者:莱西市情 语音阅读:
(上接第3版)
不再享受农村低保家庭
不再享受城镇低保家庭
监督举报电话:88400675
复制链接
下一篇
上一篇
返回目录