PDF版
下一版
上一版
八版:公示
总第1784期 >
2016-07-01
编印
返回阅读
|
视觉导航
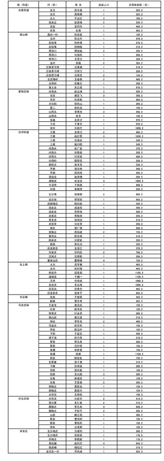
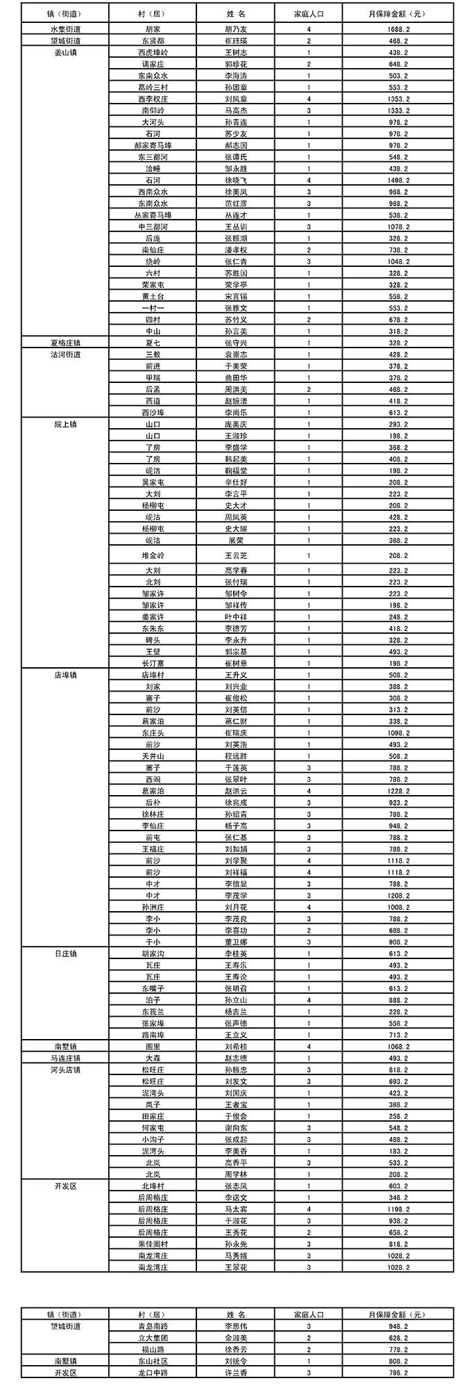
二0一六年六月份城乡低保对象调整情况公示
刊发日期:2016-07-01 阅读次数: 作者:lxxwzx 语音阅读:
新增农村低保家庭
不再享受农村低保家庭
复制链接
下一篇
上一篇
返回目录