PDF版
下一版
上一版
四版:专版
总第1706期 >
2016-02-17
编印
返回阅读
|
视觉导航
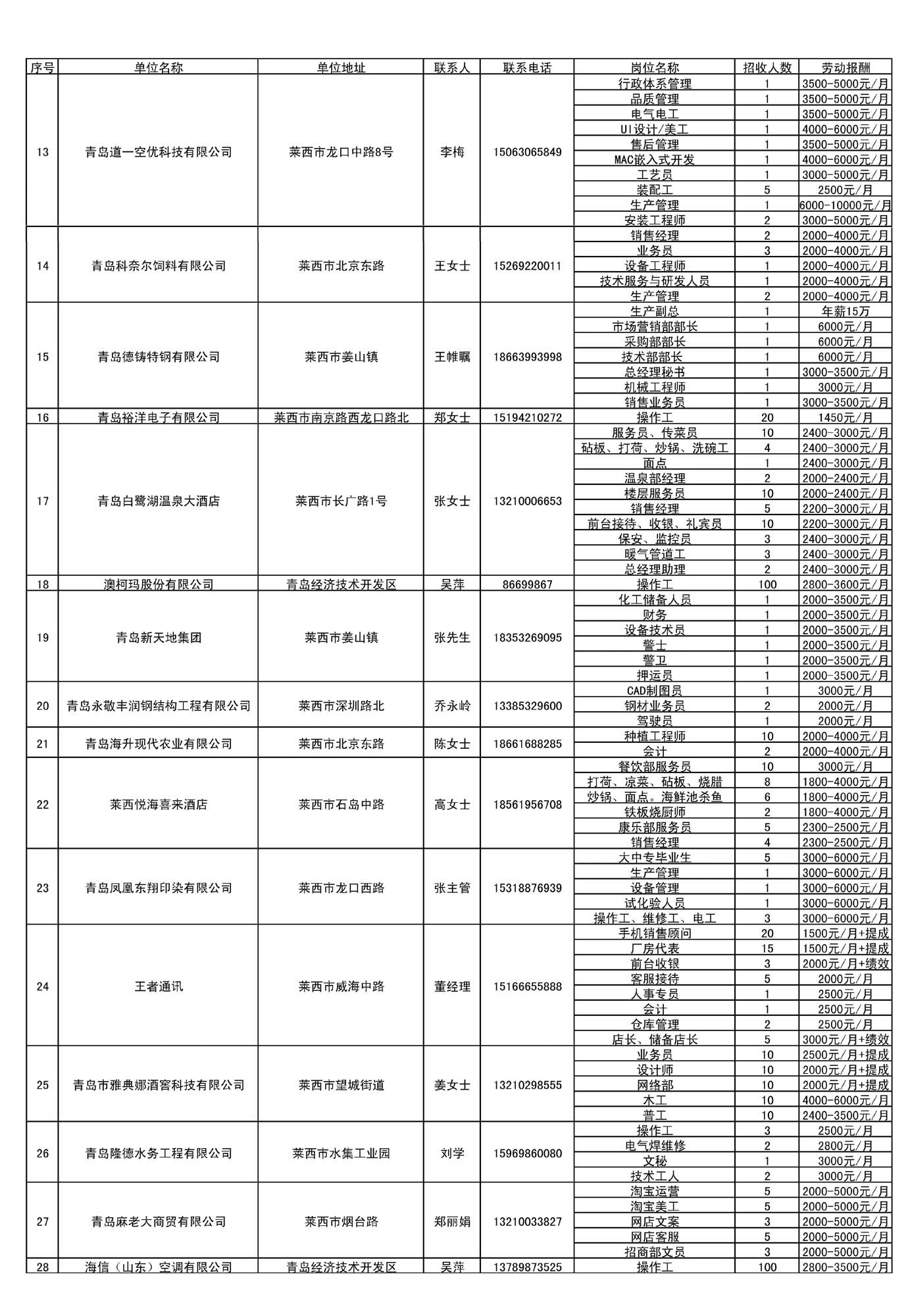
莱西市人力资源市场企业招聘信息
刊发日期:2016-02-17 阅读次数: 作者:lxxwzx 语音阅读:
复制链接
下一篇
上一篇
返回目录