PDF版
下一版
上一版
七版:综合信息
总第1229期 >
2013-09-26
编印
返回阅读
|
视觉导航
市食品药品监督管理局餐饮服务环节食品、食品原料检测结果公示
刊发日期:2013-09-26 阅读次数: 作者:lxxwzx 语音阅读:
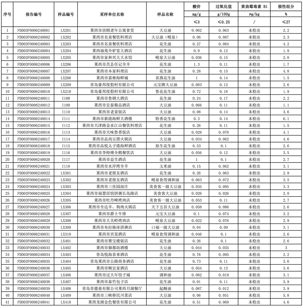
2013年7月24日,市食品药品监督管理局开展了由人大代表、政协委员、社会监督员、新闻媒体共同参与并指定抽检单位的“食品安全公开检测活动”,在全市范围内随机抽取了41家餐饮单位,抽检41份正在使用的食用油样品,由“青岛市华测检测有限公司”进行检测,检测结果全部合格。
2013年7月24日“食品安全公开检测活动”抽检的41批次食用植物油检测结果
复制链接
下一篇
上一篇
返回目录